山西能源监管办公示2017年3月份风电考核结果
| 
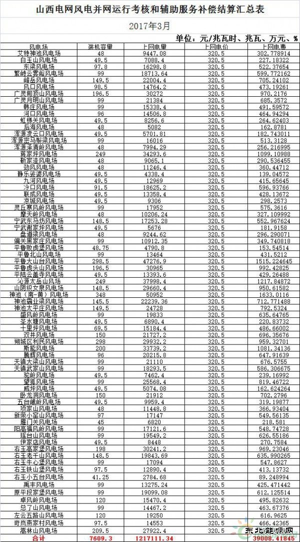
	   山西能源监管办近日公示2017年3月份山西电网风电并网运行考核结果,涉及71个风电场,装机容量总计7609.3MW。具体考核结果详见下表。  (编辑:韩语) | 
| 
	   山西能源监管办近日公示2017年3月份山西电网风电并网运行考核结果,涉及71个风电场,装机容量总计7609.3MW。具体考核结果详见下表。  (编辑:韩语) |